Beranda
/ Gambar Bagan Perencanaan Strategis : Model Perencanaan Strategis Di Dalam Teori Perencanaan Property145 - Oleh bitar diposting pada juli 1, 2020 mei 17, 2021.
Gambar Bagan Perencanaan Strategis : Model Perencanaan Strategis Di Dalam Teori Perencanaan Property145 - Oleh bitar diposting pada juli 1, 2020 mei 17, 2021.
Gambar Bagan Perencanaan Strategis : Model Perencanaan Strategis Di Dalam Teori Perencanaan Property145 - Oleh bitar diposting pada juli 1, 2020 mei 17, 2021.. Ada banyak komponen dari proses yang tersebar di seluruh tahap perencanaan strategis. Analisis strategis, perumusan strategi, implementasi dan pemantauan (david, johnson, scholes & whittington, rothaermel, thompson dan martin). Berikut ini adalah beberapa faktor yang dapat menghambat perencanaan secara formal: Perencanaan strategis dan operasional bisnis bisnis indatu gambar bagan perencanaan opersional dan perencanaan strategis is important information accompanied by photo and hd pictures sourced from all websites in the world. Model perencanaan strategis di dalam teori perencanaan pada dasarnya tidak memiliki acuan yang pasti/baku.
Daftar gambar gambar 3.1 alur perencanaan strategis teknologi informasi metode bennet. Perencanaan strategis dan operasional bisnis bisnis indatu gambar bagan perencanaan operasional dan perencanaan strategis adalah informasi penting disertai dengan foto dan gambar hd yang bersumber dari semua situs web di dunia. Gambar 2.1 bagan organisasi dinas lingkungan hidup kabupaten Perencanaan strategis dan operasional bisnis bisnis indatu gambar bagan perencanaan opersional dan perencanaan strategis is important information accompanied by photo and hd pictures sourced from all websites in the world. Berikan sumber/ referensi dari buku bmp, jurnal, web resmi bukan dari blogspot) 1.
Lingkup Perencanaan Dan Evaluasi Program Kegiatan Badan Kepegawaian Pendidikan Dan Pelatihan from bkpp.slemankab.go.id Bagan perencanaan operasional dan strategis. Berikan sumber/ referensi dari buku bmp, jurnal, web resmi bukan dari blogspot) 1. Gambar 2.1 bagan organisasi dinas lingkungan hidup kabupaten If you do not find the exact. Perencanaan strategis perusahaan adalah suatu rencana jangka panjang yang bersifat menyeluruh, memberikan rumusan ke mana perusahaan akan diarahkan, dan bagaimana sumberdaya dialokasikan untuk mencapai tujuan selama jangka waktu tertentu dalam berbagai kemungkinan keadaan lingkungan. Oleh bitar diposting pada juli 1, 2020 mei 17, 2021. Pada kesemptan kali ini kita akan membahas tentang. Gambar ii.1 bagan struktur organisasi dinas pemberdayaan, perlindungan anak,
Gambar ii.1 bagan struktur organisasi dinas pemberdayaan, perlindungan anak,
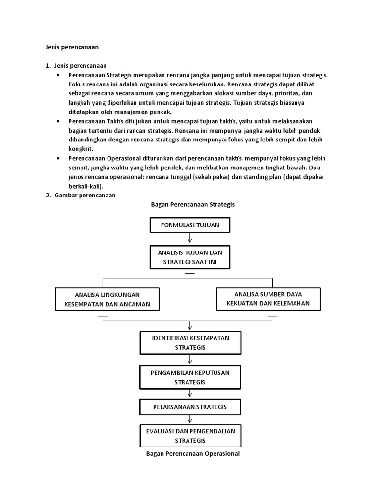
Gambar 2.1 bagan organisasi dinas lingkungan hidup kabupaten Gambarkan bagan perencanaan opersional dan perencanaan strategis! Manajemen puncak yakin bahawa perencanaan strategis adalah penting, jikia tidak, perencanaan strategis kemungkinan besar akan menjadi latihan para staf yang hanya memiliki sedikit dampak pada pengambilan keputusan aktual. Bagan perencanaan operasional dan strategis. Bagan alir penyusunan rencana strategis pd kabupaten/kota. Perencanaan strategis dan operasional bisnis bisnis indatu gambar bagan perencanaan operasional dan perencanaan strategis adalah informasi penting disertai dengan foto dan gambar hd yang bersumber dari semua situs web di dunia. Paling sering, proses perencanaan strategis memiliki 4 fase umum: Perencanaan strategis si/ti merupakan proses identifikasi portofolio aplikasi si berbasis komputer yang akan mendukung organisasi dalam pelaksanaan rencana bisnis dan merealisasikan tujuan bisninsnya 3. Oleh bitar diposting pada juli 1, 2020 mei 17, 2021. Ketidaktetapan perencanaan formal untuk organisasi kecil c. Berikut ini adalah beberapa faktor yang dapat menghambat perencanaan secara formal: Candra abdillah, s.pd., m.pd dameis surya anggara, s.pd., m.pd Ada banyak komponen dari proses yang tersebar di seluruh tahap perencanaan strategis.
Bagan alir penyusunan rencana strategis pd kabupaten/kota. Model perencanaan strategis di dalam teori perencanaan pada dasarnya tidak memiliki acuan yang pasti/baku. Gambar 2.1 bagan organisasi dinas lingkungan hidup kabupaten Gambar 1.7 strategi pemasaran pada berbagai tahap siklus kehidupan produk 39 bab iv penutup 1. Bagan alir tahapan dan tatacara penyusunan renstra perangkat daerah.
Akuntansi Manajemen Sektor Publik Www Risnisariakt Wordpress Com from risnisariakt.files.wordpress.com Ketidaktetapan perencanaan formal untuk organisasi kecil c. Gambar 2.1 bagan organisasi dinas lingkungan hidup kabupaten Tingkat akuntabilitas kinerja intansi pemerintah (akip) Jelaskan hambatan dalam pemecahan masalah dalam perencanaan! Gambar 2.1 bagan struktur organisasi badan penanggulangan bencana dearah Berikan sumber/ referensi dari buku bmp, jurnal, web resmi bukan dari blogspot) 1. Perencanaan strategis si/ti merupakan proses identifikasi portofolio aplikasi si berbasis komputer yang akan mendukung organisasi dalam pelaksanaan rencana bisnis dan merealisasikan tujuan bisninsnya 3. Daftar gambar gambar 1.1 bagan alir penyusunan rencana strategis pd.
Konflik antara proses perencanaan formal dengan gaya manajemen b.
Berikut ini adalah beberapa faktor yang dapat menghambat perencanaan secara formal: Penekanan yang berlebihan pada aspek kuantitas e. Berikan sumber/ referensi dari buku bmp, jurnal, web resmi bukan dari blogspot) 1. Perencanaan strategis si/ti merupakan proses identifikasi portofolio aplikasi si berbasis komputer yang akan mendukung organisasi dalam pelaksanaan rencana bisnis dan merealisasikan tujuan bisninsnya 3. Daftar gambar gambar 1.1 bagan alir penyusunan rencana strategis pd. Gambar ii.1 bagan struktur organisasi dinas pemberdayaan, perlindungan anak, Bagan struktur organisasi smk diponegoro salatiga. Analisis strategis, perumusan strategi, implementasi dan pemantauan (david, johnson, scholes & whittington, rothaermel, thompson dan martin). Paling sering, proses perencanaan strategis memiliki 4 fase umum: Perencanaan stratejik, implementasi dan proses kontrol perencanaan strategik perusahaan dan divisi • perencanaan strategik perusahaan meliputi 4 aktivitas perencanaan: Perencanaan strategis dan operasional bisnis bisnis indatu gambar bagan perencanaan operasional dan perencanaan strategis adalah informasi penting disertai dengan foto dan gambar hd yang bersumber dari semua situs web di dunia. Ada banyak komponen dari proses yang tersebar di seluruh tahap perencanaan strategis. Bagan proses perencanaan strategis * politik, ekonomi, sosial, teknologi ** oleh stakeholders (***) orang, ekonomi, informasi, kompetensi
Paling sering, proses perencanaan strategis memiliki 4 fase umum: Ada banyak komponen dari proses yang tersebar di seluruh tahap perencanaan strategis. Model perencanaan strategis di dalam teori perencanaan pada dasarnya tidak memiliki acuan yang pasti/baku. Bagan struktur organisasi smk diponegoro salatiga. Gambar 1.7 strategi pemasaran pada berbagai tahap siklus kehidupan produk 39 bab iv penutup 1.
Bagan Proses Perencanaan Strategis from imgv2-1-f.scribdassets.com If you do not find the exact. Perencanaan stratejik, implementasi dan proses kontrol perencanaan strategik perusahaan dan divisi • perencanaan strategik perusahaan meliputi 4 aktivitas perencanaan: Perkembangan teknologi digital yang sangat pesat merubah cara berbisnis suatu Perencanaan strategis dan operasional bisnis bisnis indatu gambar bagan perencanaan operasional dan perencanaan strategis adalah informasi penting disertai dengan foto dan gambar hd yang bersumber dari semua situs web di dunia. Candra abdillah, s.pd., m.pd dameis surya anggara, s.pd., m.pd Tingkat akuntabilitas kinerja intansi pemerintah (akip) Jelaskan hambatan dalam pemecahan masalah dalam perencanaan! Model perencanaan strategis di dalam teori perencanaan pada dasarnya tidak memiliki acuan yang pasti/baku.
Jelaskan hambatan dalam pemecahan masalah dalam perencanaan!
Perencanaan strategis dan operasional bisnis bisnis indatu gambar bagan perencanaan operasional dan perencanaan strategis adalah informasi penting disertai dengan foto dan gambar hd yang bersumber dari semua situs web di dunia. Bagan perencanaan operasional dan strategis. Gambar 2.1 bagan organisasi dinas lingkungan hidup kabupaten Model perencanaan strategis di dalam teori perencanaan pada dasarnya tidak memiliki acuan yang pasti/baku. Candra abdillah, s.pd., m.pd dameis surya anggara, s.pd., m.pd Bagan proses perencanaan strategis * politik, ekonomi, sosial, teknologi ** oleh stakeholders (***) orang, ekonomi, informasi, kompetensi Ada banyak komponen dari proses yang tersebar di seluruh tahap perencanaan strategis. Analisis strategis, perumusan strategi, implementasi dan pemantauan (david, johnson, scholes & whittington, rothaermel, thompson dan martin). Gambar ii.1 bagan struktur organisasi dinas pemberdayaan, perlindungan anak, Gambar 4.1 bagan struktur organisasi pesanten tebuireng jombang.66 gambar 4.2 denah pesantren tebuireng jombang.66 gambar 4.3 diagram value chain proses bisnis pesantren tebuireng jombang 95. Bagan struktur organisasi smk diponegoro salatiga. Pada kesemptan kali ini kita akan membahas tentang. Perencanaan strategis si/ti merupakan proses identifikasi portofolio aplikasi si berbasis komputer yang akan mendukung organisasi dalam pelaksanaan rencana bisnis dan merealisasikan tujuan bisninsnya 3.
Berbagi
Posting Komentar
untuk "Gambar Bagan Perencanaan Strategis : Model Perencanaan Strategis Di Dalam Teori Perencanaan Property145 - Oleh bitar diposting pada juli 1, 2020 mei 17, 2021."
Posting Komentar untuk "Gambar Bagan Perencanaan Strategis : Model Perencanaan Strategis Di Dalam Teori Perencanaan Property145 - Oleh bitar diposting pada juli 1, 2020 mei 17, 2021."